謝世良 JCI insight
陳韻如 ACS Chemical Neuroscience
莊樹諄 Molecular Psychiatry
謝世良 Journal of Biomedical Science
林國儀 Molecular Cancer Research
胡春美, 李文華 Nature Communications
胡春美, 李文華 American Journal of Cancer Research
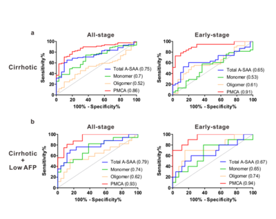
楊懷壹, 陳建仁 Journal of Gastroenterology April 22, 2022
鄭偉杰, 沈家寧 Chemical Science April 19, 2022
陳韻如 Scientific Reports